Skip to content

Free Printable Legal Forms

  • Home
  • Free Blank Will Forms
  • Free Bill of Sale Forms
  • Free Printable Personal Legal Forms
    • Advance Healthcare Directives
    • Free Printable Divorce Papers & Forms
    • Free Printable Blank Will Forms
    • Free Living Will Forms
    • Free Power of Attorney Forms
    • Free Prenuptial Agreement
    • Free Quitclaim Deeds
    • Free Trust Forms
  • Free Printable Business Forms
    • Free Printable Bill of Sale Forms
    • Free Bill of Sale Forms
    • Free Printable Business Agreements
    • Free Confidentiality Agreement
    • Free Independent Contractor Agreement
    • Free Partnership Agreement
    • Free Printable Rental and Lease Agreements
  • Search For Free Forms
  • Contact Us
  • About Us

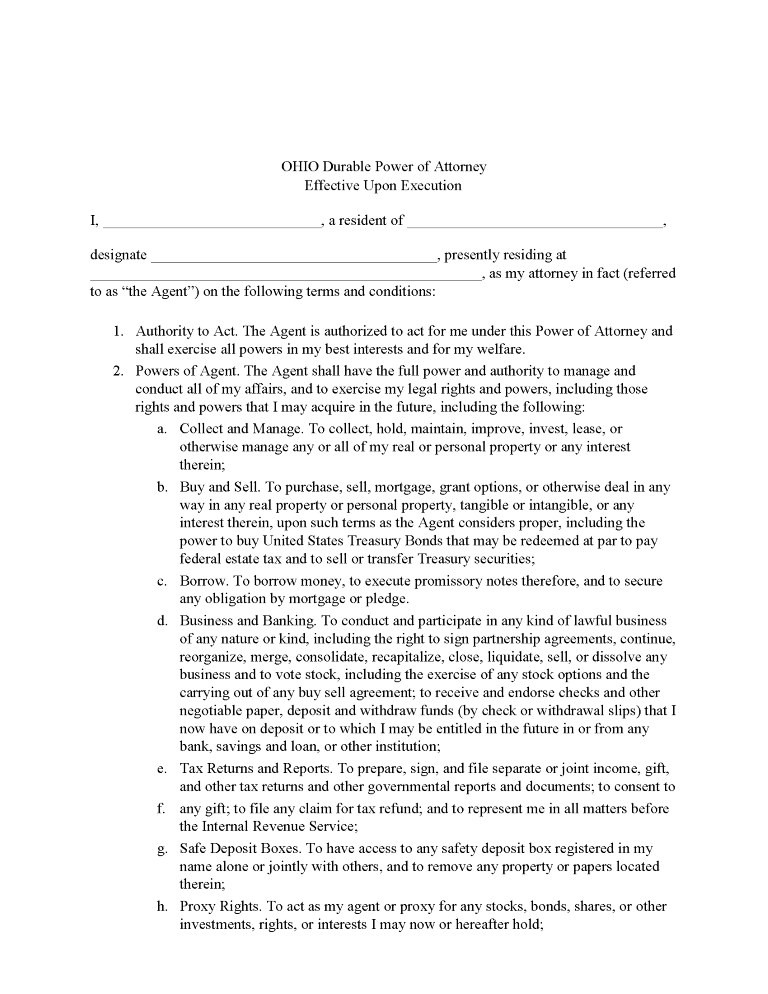
Ohio Durable Power of Attorney Form Word

September 18, 2021Full resolution (768 × 994)
← Previous Next →
Ohio Durable Power of Attorney Form Word

Ohio Durable Power of Attorney Form Word

Ohio Durable Power of Attorney Form Word

Privacy Policy Proudly powered by WordPress